开场: Feature 特征
哈姆雷特说:“世事并无好坏,全看我们怎么想”。比方说,同样是面对失败,有的人觉得是场灾难,有的人则把它看成是一次弥足珍贵的经验和成长机会。《思维改变生活》这本书旨在指导我们怎样更加健康、理性的思考,以更大的成功信念和更小的消极情绪来应对生活中那些不可避免地将会出现的困境。
Advantage 优势
这本书目前的豆瓣评分是8.6分。
较于其他同类书籍有两大优势:
第一是涵盖生活的各个方面,包括征服挫折、控制愤怒、对付焦虑、维护自尊、恢复快乐、掌握自己、有效沟通和幸福生活。
第二个是大量案例
作者结合自己的实践经验,采用大量的正反案例对比,便于读者理解和掌握具体的操作过程。
Benefit 利益
生活中,我们经常遇到使我们倍感愤怒、焦虑、抑郁、内疚的人或事,只要消极的想法占了上风,情绪的发展就不再受到控制。我们该如何避免自己产生过激的负面反应呢?这本书可以教会我们更理性地处理消极情绪,并帮助我们找到自己的幸福——控制自己情绪的人才能更好的控制人生。
书名《思维改变生活》
页码 P13
ABC模型
当我们的日常生活出现问题,大多数人会不假思索地认为,是那些发生了的事情使我们感到难受。例如,当我们感到愤怒或忧伤,我们会认为是别人使我们产生这样的感受;当我们感到焦虑、受挫或忧伤,我们倾向于责怪自己的处境。然而,正如埃利斯指出的那样,并不是人和事让我们喜悦或悲伤——它们只不过是提供了一种刺激。其实,是我们的认知决定了我们在特定情况下的感受。
为了阐明这―理论,埃利斯提出了“A-B-C”模型:
A代表“前因”(antecedent)(引发反应的情况)。
B代表“观念”(beliefs)(我们对该情况的认知)。
C代表“结果”(consequences)(我们的感受和行为)。
尽管我们倾向于在责怪“A”(前因)造成了“C”(结果)其实是“B”(观念)使我们产生了那样的感受。让我们来看一个简单的例子:
设想你约会要迟到了,你感到很着急。
A:前因:约会将要迟到
C:结果:焦虑,烦躁,开车鲁莽
你感到焦虑(C),不是因为你将要迟到(A),而是因为你认为自己必须守时并且担心迟到的后果(B)。在这种情况下使人感到焦虑的典型观念包括:“我必须守时。如果我迟到,别人就不会喜欢我了。不论何时,我都必须得到每个人的赞赏。如果他们对我有看法,那可麻烦了。”
引入D:辩驳(dispute)
埃利斯用“辩驳”这个词来描述我们质疑自己思维方式的过程。我们―旦弄清了使自己难过的想法和观念,下一步就是辩驳它们。例如,为了辩驳使我们即将迟到时觉得焦虑的观念,我们可以告诉自己:“过去的经验告诉我,虽然好像要迟到了,仍然能够按时到达那里,或者只是晚那么一点点。即使我迟到了一点时间,也不会有很严重的后果。我当然希望能准时,而且我通常都很准时,如果我这一次迟到了,也不至于弄得像世界末日一般。”
以这种方式辩驳我们的观念,有助于体验到更恰当的情绪:关心,而非高度焦虑。这种辩驳还促使我们行为得当——这个例子中,可以避免鲁莽驾车。
What
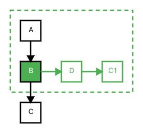
请大家看我手上的简图。这张拆页向我们解锁了一个思维误区,就是事件发生【A】和行为产生【C】中间还隐藏着一个重要因素:我们的观念【B】。并且指出这个消极的观念【B】才是导致我们产生糟糕情绪的元凶。
Why
我们都知道这个消极的观念【B】是无益的,就像拆页中提到的“我必须守时”的观念。因为迟到已经发生了,这种观念除了让我们陷进自己营造的消极情绪中,不但不能解决实际问题,还可能会造成更加糟糕的连锁反应。比方说鲁莽驾车,不但容易给自己造成损失,还可能会对他人造成严重的伤害。
虽然我们不能改变别人,也不能改变境遇,但我们可以改变自己的思维方式。
How
认清并改变思维方式的方法是:
当事件A发生之后,我们可以通过警醒自己的【B】无益观念,立刻喊停,拐弯,引入辩驳【D】,这样就可以避免直来直去的自发情绪和行为【C】,从而得到一个得当的情绪和行为【C1】

举一个例子
A:面试失败
C:感到难过、失落和挫败感
B:我连一次面试都发挥不好,我真没用。
D:人生中总是充满挑战,每一次经历都是一次学习的机会。我可能需要多参加几场面试,才能找到好工作。大多数人都有这样一个过程。
C1:当我们这样去想的时候,是不是就感觉好多了,不会再纠结面试没发挥好这件已经过去,并且无法挽回的事情,而是开始总结经验和教训,积极投入到下一次的面试中。

适应边界
ABCD模式,不是消除所有的痛苦情绪,而是帮助我们对可能引起痛苦的情况作出恰当的反应。
不那么做的坏处
如果没有在出现负面情绪时,适时插入【D】这个环节,可能就会让我们觉得这是不是一种“阿Q”式的自我安慰?并没有进行积极的思考?ABCD模式强调形成健康、合理的认知,从更积极也更现实的角度看问题。
「A1」激活经验(显像提问)4分钟
拆书家提问设计:
请大家根据简图上的提示,想一下你是否曾经遇到过一些想要坚持,但是却失败了的事情,比方说由于背诵英语单词没坚持住,因此产生了消极的情绪:我怎么这么没有毅力,这简直糟糕透了!从而打算放弃,不想再学英语了。请大家回忆一下,在你们以往的经历中,是否还有其他类似的失败经历?请在便签上写下关键点。
学习者案例记录:
实例一:
A:减肥失败
B:感觉自己一无是处
C:失落,感觉减肥无望
实例二:
A:学吉他没坚持住
B:根深蒂固的认为自己不可能学会
C:有挫败感,没有自信再去学习
「A1+」反思加工 4分钟
拆书家提问设计:
想想如果运用刚刚学到的知识,对【B】消极的情绪喊停,插入【D】辩驳,促进思维拐一个小弯,会是什么?之后又会产生什么新的结果【C1】?请在便签上写下来
学习者案例记录:
实例一:
A:健身失败
B: 觉得自己什么都坚持不住
D:我更关注不是身体塑形,而是健康的身体
C1:健身可以是每一天都坚持的小事,换乘地铁时改为爬楼梯,从久坐到工作间隙交替运动的规律节奏,培养keep moving的状态
实例二:
A:结伴出行,做错火车站
B:这么小的时候都做错,还能指望你干什么?
D:相互埋怨解决不了问题,寻找解决方案
C1:根据目前的情况,决定打的前往火车站